学历教育

求职入学敲门砖!提高自身学历水平!

当前位置:首页>新闻中心>学历教育
全部 行业动态 广州户口 常见问题 职业技能 学历教育

广东省2021年提前批本科艺术体育类统考教师专项投档情况

时间:2021-07-16   访问量:1192   来源:广东省教育考试院

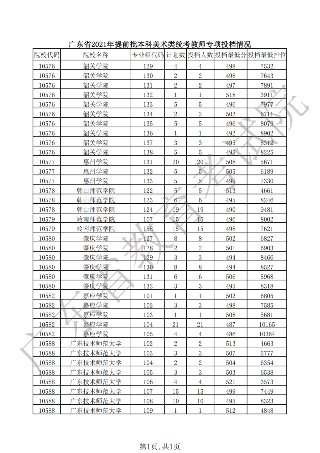
广东省2021年提前批本科美术类统考教师专项投档情况

图片


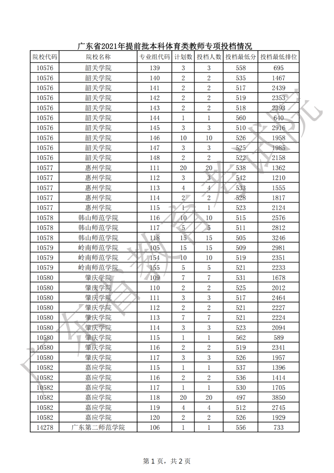
广东省2021年提前批本科体育类统考教师专项投档情况

图片

图片



广东省2021年提前批本科音乐类统考教师专项投档情况

图片

图片



来源:广东省教育考试院
政策文件原文:广东省2021年提前批本科艺术体育类统考教师专项投档情况
以上信息来自 广东省教育考试院,如您需查看原文可前往 广东省教育考试院 官网。
30秒测评,快速了解能否入户
2025年人才引进、积分入户政策具有大幅调整!不确定入户方式?免费快速测评,为您提供私人定制方案!

1. 目前年龄(单选):

2. 最高学历(单选):

3. 广州社保(单选):

4. 手机号码/微信号:

测评结果
  • 李**147******42不够条件解决方案
  • 范**134******91够  条  件协助入户
  • 李**135******97够  条  件协助入户
  • 黄**133******34够  条  件协助入户
  • 李**138******52不够条件解决方案
  • 李**147******42不够条件解决方案
  • 纪**150******44不够条件解决方案
  • 王**182******09够  条  件协助入户
  • 邓**135******91够  条  件协助入户
  • 周**152******11够  条  件协助入户
  • 纪**150******44不够条件解决方案
  • 冯**130******17不够条件解决方案


复制成功

复制成功

微信号:13928888870

请打开 微信
添加老师微信,了解入户政策

知道了

免费通话

24小时免费咨询

请输入您的联系电话,座机请加区号

免费通话

微信扫一扫

微信联系
返回顶部